返回顶部
友情链接

国家开放大学《工程数学(本)》形考任务

0
回复
59036
查看
[复制链接]

7万

主题

7万

帖子

21万

积分

论坛元老

Rank: 8Rank: 8

积分
218174
TracyratLv.8 显示全部楼层 发表于 2026-3-14 13:00:05 |阅读模式
在小说阅读器中沉浸学习

点击下方卡片关注“轻学记”加⭐星标⭐学习不迷路

w1.jpg

课程考核

本课程考核采用形成性考核与终结性考试相结合的方式。形成性考核占课程综合成绩的30%,终结性考试占课程综合成绩的70%。最终成绩=形考成绩30%+终考成绩70%考核方式相关信息以国家开放大学当学期发布的考试安排文件为准。形考任务一、二、三的题目是打乱的,但是题量不变,由于数学题目大部分都是由图片和文字组成,按照题目查找不是很方便,只能手动肉眼查找啦(部分题干有文字的,也可以按照文字查找)~~~
形考任务一

一、单项选择题1.n阶行列式中
w2.jpg
元素
w3.jpg
的代数余子式
w4.jpg
与余子式
w5.jpg
之间的关系是(   ).【答案】
w6.jpg
2.三阶行列式
w7.jpg
的余子式M23=(   ).【答案】
w8.jpg
1.若A为3×4矩阵,B为2×5矩阵,且乘积AC'B'有意义,则C为(    )矩阵.【答案】 5×4 2.设A为3×4矩阵,B为4×3矩阵,则下列运算可以进行的是(    ).【答案】AB1.设
w9.jpg
,则
w10.jpg
(    ).【答案】
w11.jpg
2.设
w12.jpg
,则BA-1(    ). 【答案】
w13.jpg
1.设A,B均为n阶可逆矩阵,则下列运算关系正确的是( ).【答案】
w14.jpg
2. 设A,B均为n阶方阵,k>0且
w15.jpg
,则下列等式正确的是( ).【答案】
w16.jpg
1.下列结论正确的是( ). 【答案】对任意方阵A,A+A'是对称矩阵2.设A,B均为n阶方阵,满足AB=BA,则下列等式不成立的是(  ).【答案】
w17.jpg
1.方阵A可逆的充分必要条件是(   ).【答案】丨A丨≠02.设矩阵A可逆,则下列不成立的是( ).【答案】
w18.jpg
1.二阶矩阵
w19.jpg
( ).【答案】
w20.jpg
2.二阶矩阵
w21.jpg
( ).【答案】
w22.jpg
1.向量组
w23.jpg
的秩为( ).【答案】32.向量组
w24.jpg
的秩是( ).【答案】31.设向量组为
w25.jpg
,则( )是极大无关组.【答案】
w26.jpg
2.向量组
w27.jpg
的极大线性无关组是(   ). 【答案】
w28.jpg
1.用消元法得
w29.jpg
的解
w30.jpg
为( ).【答案】
w31.jpg
2. 方程组
w32.jpg
的解
w33.jpg
为( ). 【答案】
w34.jpg
二、判断题1.行列式的两行对换,其值不变.(   )【答案】错2.两个不同阶的矩阵可以相加.(   ) 【答案】错1.设A是对角矩阵,则A=A'.(   ) 【答案】对2.同阶对角矩阵的乘积依旧是对角矩阵.(   ) 【答案】对1.若
w35.jpg
为对称矩阵,则a=-3.(    )【答案】错2.若
w36.jpg
为对称矩阵,则x=0.(    ) 【答案】对1.设
w37.jpg
,则
w38.jpg
.(    )【答案】错2.设
w39.jpg
,则
w40.jpg
.(    ) 【答案】对1.零矩阵是可逆矩阵.(    )【答案】错2.设A是n阶方阵,则A可逆的充要条件是 r(A)=n.(   ) 【答案】对三、填空题1.1
w41.jpg
【答案】72.设行列式
w42.jpg
,则
w43.jpg
【答案】-61.若行列式
w44.jpg
,则a= .【答案】12.
w45.jpg
是关于x的一个一次多项式,则该多项式一次项的系数是.【答案】211.乘积矩阵
w46.jpg
中元素C23=【答案】102.乘积矩
w47.jpg
中元素 C21=【答案】-161.设A,B均为3阶矩阵
w48.jpg
,且,则
w49.jpg
.【答案】-722.设A,B均为3阶矩阵,且
w50.jpg
,则
w51.jpg
【答案】91.矩阵
w52.jpg
的秩为 【答案】12.矩阵
w53.jpg
的秩为【答案】2
形考任务二

一、单项选择题1.设线性方程组
w54.jpg
的两个解
w55.jpg
,则下列向量中(   )一定是
w56.jpg
的解.【答案】
w57.jpg
2.设线性方程组
w58.jpg
的两个解
w59.jpg
,则下列向量中(   )一定是
w60.jpg
的解.【答案】
w61.jpg
1.设
w62.jpg

w63.jpg
分别代表非齐次线性方程组
w64.jpg
的系数矩阵和增广矩阵,若这个方程组有解,则(   ). 【答案】
w65.jpg
2.设
w66.jpg

w67.jpg
分别代表非齐次线性方程组
w68.jpg
的系数矩阵和增广矩阵,若这个方程组无解,则( ).【答案】
w69.jpg
1.若某个非齐次线性方程组相应的齐次线性方程组只有零解,则该线性方程组( ). 【答案】可能无解2.以下结论正确的是( ).【答案】齐次线性方程组一定有解1.若向量组
w70.jpg
线性相关,则向量组内( )可被该向量组内其余向量线性表出. 【答案】至少有一个向量2.若向量组
w71.jpg
线性无关,
w72.jpg
则齐次线性方程组( ).【答案】只有零解  1.矩阵
w73.jpg
的特征值为(   ).【答案】-1,42.矩阵A的特征多项式
w74.jpg
,则A的特征值为     ).【答案】
w75.jpg

w76.jpg

w77.jpg
1.设矩阵
w78.jpg
的特征值为0,2,则3A的特征值为     ) .【答案】0,62.已知可逆矩阵A的特征值为-3,5,则A-1的特征值为     ) .【答案】
w79.jpg
1.设A,B为n阶矩阵,λ既是A又是B的特征值,x既是A又是B的特征向量,则结论( )成立.【答案】x是A+B的特征向量2.设
w80.jpg
是矩阵A的属于不同特征值的特征向量,则向量组
w81.jpg
的秩是( ).【答案】31.设A,B为两个随机事件,则( )成立.【答案】
w82.jpg
2.设A,B为两个随机事件,下列事件运算关系正确的是(      ). 【答案】
w83.jpg
1.如果( )成立,则事件A与B互为对立事件.【答案】
w84.jpg

w85.jpg
2.若事件A,B满足
w86.jpg
,则A与B一定(  ). 【答案】不互斥1.袋中有5个黑球,3个白球,一次随机地摸出4个球,其中恰有3个白球的概率为( ). 【答案】
w87.jpg
2.某购物抽奖活动中,每人中奖的概率为3. 则3个抽奖者中恰有1人中奖的概率为( ).【答案】
w88.jpg
二、判断题1.线性方程组可能无解.(   )

【答案】错2.非齐次线性方程组相容的充分必要条件是
w89.jpg
.(   ) 【答案】对1.当
w90.jpg
1时,线性方程组
w91.jpg
只有零解.(    ) 【答案】对2.当1时,线性方程组
w92.jpg
有无穷多解.(   )

【答案】错1. 设A是三阶矩阵,且r(A)=3,则线性方程组AX=B有唯一解.(    ) 【答案】对2.设A是三阶矩阵,且
w93.jpg
,则线性方程组AX=B有无穷多解.(    )【答案】错1.若向量组
w94.jpg
线性相关,则
w95.jpg
也线性相关.(   )【答案】错2.若向量组
w96.jpg
线性无关,则
w97.jpg
也线性无关.(    ) 【答案】对1.特征向量必为非零向量.(    ) 【答案】对2.若A矩阵可逆,则零是A的特征值.(   )

【答案】错三、填空题1.当
w98.jpg
______ 时,齐次线性方程组有非零解
w99.jpg
【答案】12.若线性方程组
w100.jpg
有非零解,则
w101.jpg
【答案】-11.向量组
w102.jpg
线性 .【答案】相关2.一个向量组中如有零向量,则此向量组一定线性【答案】相关1.设齐次线性方程组
w103.jpg
的系数行列式
w104.jpg
,则这个方程组有 解。【答案】非零2.向量组
w105.jpg
的秩与矩阵的
w106.jpg
秩 【答案】相等1.设线性方程组AX=0中有5个未知量,且秩A)=3,则其基础解系中线性无关的解向量有 1 个.【答案】22.线性方程组AX=B中的一般解的自由元的个数是2,其中A是4x5矩阵,则方程组增广矩阵
w107.jpg
=【答案】31.设A为n阶方阵,若存在数
w108.jpg
和非零n维向量X,使得
w109.jpg
,则称数
w110.jpg
为A的 1【答案】特征值2.设A为n阶方阵,若存在数
w111.jpg
和  1 n维向量X,使得
w112.jpg
,则称数
w113.jpg
为A的特征值,X为A相应于特征值
w114.jpg
的特征向量.【答案】非零

形考任务三

一、单项选择题每小题1.同时掷3枚均匀硬币,恰好有2枚正面向上的概率为( ).【答案】0.3752.从数字1,2,3,4,5中任取3个,组成没有重复数字的三位数,则这个三位数是偶数的概率为( ).【答案】0.41.已知
w115.jpg
,则( )成立.【答案】
w116.jpg
2.设A,B是两事件,则下列等式中(   )是不正确的.

【答案】
w117.jpg
,其中A,B互不相容

1.对于事件
w118.jpg
,命题( )是正确的.【答案】如果
w119.jpg
对立,则
w120.jpg
对立2.已知
w121.jpg
,则当事件
w122.jpg
互不相容时
w123.jpg
,( ).【答案】0.81.某随机试验每次试验的成功率为
w124.jpg
,则在3次重复试验中至少失败1次的概率为( ).【答案】
w125.jpg
2.
w126.jpg
为两个事件,且
w127.jpg
,则
w128.jpg
( ). 【答案】
w129.jpg
1.设随机变量
w130.jpg
,且
w131.jpg
,则参数n与p分别是( ). 【答案】6, 0.82.设随机变量
w132.jpg
,且
w133.jpg
,则参数μ与σ分别是( ).【答案】0, 21.设
w134.jpg
为连续型随机变量
w135.jpg
的密度函数,则对任意的
w136.jpg

w137.jpg
( ). 【答案】
w138.jpg
2.在下列函数中可以作为概率密度函数的是( ).【答案】
w139.jpg
1.设连续型随机变量X的密度函数为
w140.jpg
,分布函数为
w141.jpg
,则对任意的区间
w142.jpg

w143.jpg
( ).【答案】
w144.jpg
2.设
w145.jpg
为随机变量,则
w146.jpg
( ).【答案】
w147.jpg
1.设
w148.jpg
是随机变量,
w149.jpg
,设
w150.jpg
,则
w151.jpg
( ).【答案】
w152.jpg
2.设
w153.jpg
为随机变量
w154.jpg
,当( )时,有
w155.jpg
【答案】
w156.jpg
1.设
w157.jpg
是来自正态总体
w158.jpg

w159.jpg
均未知)的样本,则( )是统计量. 【答案】
w160.jpg
2.设
w161.jpg
是来自正态总体
w162.jpg

w163.jpg
均未知)的样本,则统计量( )不是
w164.jpg
的无偏估计.【答案】
w165.jpg
1.对正态总体方差的检验用的是( ).【答案】X2检验法2.设
w166.jpg
是来自正态总体
w167.jpg
的样本,则检验假设
w168.jpg
采用统计量U =(   ).【答案】
w169.jpg
二、判断题1.若事件A,B相互独立,且P(A)=0.2,P (B)=0.5,则P(A+B)=0.7.(    )【答案】错2.若A,B事件相互独立,且P(A)=0.4,P (B)=0.5,则P(A+B)=0.7.(    ) 【答案】对1.掷两颗均匀的骰子,事件“点数之和为3”的概率是
w170.jpg
.(   )【答案】错2.盒中装有6个白球4个红球,无放回地每次抽取一个,则第2次取到红球的概率是
w171.jpg
.( ) 【答案】对1.已知连续型随机变量X的分布函数F(x),且密度函数fx)连续,则
w172.jpg
.(   )【答案】错2.设连续型随机变量X的密度函数是fx),则
w173.jpg
.(    ) 【答案】对1.若
w174.jpg
,则
w175.jpg
.(   ) 【答案】对2.若
w176.jpg
,则
w177.jpg
.(    )【答案】错1.设
w178.jpg
是来自正态总体
w179.jpg
的容量为2的样本,其中
w180.jpg
为未知参数,则
w181.jpg

w182.jpg
的无偏估计.(    )【答案】错2.设
w183.jpg
是来自正态总体
w184.jpg
的容量为2的样本,其中μ为未知参数,则
w185.jpg
是μ的无偏估计.(    ) 【答案】对三、填空题1.设A,B是两个随机事件,且P(B)≠0,则称P(A/B)为事件B发生的条件下,事件A发生的.【答案】条件概率2.如果两事件A,B中任一事件的发生不影响另一事件的概率,则称事件A与事件B是 1 .【答案】独立的1.已知P(A)=0.3,P(B)=0.5,则当A,B事件互不相容时,P(AB)=.【答案】0.32.已知P(A)=0.3,P(B)=0.5,则A,B当事件相互独立时,P(AB)= .【答案】0.31.若
w186.jpg
,则DX) 1【答案】242.若
w187.jpg
,则
w188.jpg
【答案】0.99731.若二维随机变量(X,Y)的相关系数
w189.jpg
,则称X,Y 1【答案】不相关2.
w190.jpg
称为二维随机变量(X,Y)的 1【答案】协方差1.如果参数θ的估计量
w191.jpg
满足
w192.jpg
,则
w193.jpg
称为参数θ的 【答案】无偏估计量2.若
w194.jpg
都是θ的无偏估计,而且
w195.jpg
,则
w196.jpg

w197.jpg
比更 【答案】有效

形考任务四

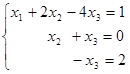
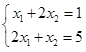
一、解答题
w198.jpg

w199.jpg

w200.jpg

w201.jpg

w202.jpg

w203.jpg

w204.jpg

w205.jpg

w206.jpg

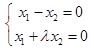
形考任务五

一、解答题
w207.jpg

w208.jpg

w209.jpg

w210.jpg

w211.jpg

w212.jpg

w213.jpg

w214.jpg

w215.jpg
声明:本文心智整理,题目从国家开放大学课程摘录,作答结果仅供学习参考使用。

回复

使用道具 举报

您需要登录后才可以回帖 登录 | 立即注册

本版积分规则

优好知识网 是一个聚焦知识付费的平台,包括在线教育、文档下载、作业答案、网课答案、考试资料、形考任务答案、行业资料、毕业论文、同时还包括问答平台、资料文库、课件下载等,是一个综合在线学习知识分享交流平台。
  • 官方手机版

  • 微信公众号

  • 商务合作